Дефицит какао-бобов привел к шоколадной панике
Шоколад пользуется спросом и дело не только в том, что скоро Пасха
Причина в дефиците и растущих ценах на основной ингредиент — какао. По словам главы компании Guan Chong, одного из крупнейших в мире переработчиков какао, охарактеризовал текущую ситуацию на рынке, как «все впадают в панику».

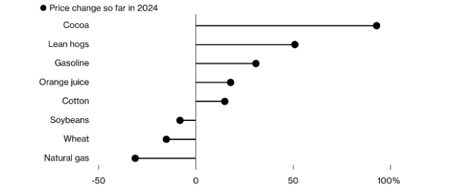
Какао в лидерах по темпам роста цен в этом году. Источник: Bloomberg
С начала года какао подорожало в два раза, превысив отметку $8500 за тонну. Учитывая то, что новые ценовые рекорды устанавливаются практически каждый день, $10 000 долларов выглядит реально. Основная причина — неурожай в Западной Африке из-за засухи и болезней. Но не последнюю роль сыграли и десятилетия недоинвестирования и недостаточной поддержки миллионов обедневших фермеров.
Малайзийская Guan Chong ищет какао по всему миру и платит премиальные надбавки за возможность забронировать бобы у мелких производителей из-за опасений, что некоторые продавцы в ведущих странах-производителях — Кот-д’Ивуар и Гане — могут не выполнить контракты на поставку. Она рассматривает возможность закупок в таких странах, как Эквадор, Перу и Индонезия, рассказал генеральный директор Брэндон Тай Хо Лиан в интервью Ануради Рагху из Bloomberg News.
Из-за растущих цен на какао кондитерские компании вынуждены выпускать новые продукты с меньшим количеством дорогого ингредиента или вовсе без него. Пока им удается перекладывать более высокие издержки на потребителей. Но бешеное ралли не демонстрирует признаков замедления, и крупнейший в мире производитель шоколада Barry Callebaut уже предупредил, что острый дефицит какао сохранится и в следующем сезоне.
Больше всего кризис ощущается в Европе — крупнейшем регионе по потреблению шоколада. Новые правила ЕС, направленные на запрет продажи в магазинах продуктов, производство которых ведет к уничтожению лесов, могут еще больше осложнить обеспечение поставок для ведущих шоколадных производителей блока. Внимание теперь обращено к предстоящему промежуточному урожаю, меньшему из двух ежегодных сборов. В этом месяце регулятор Кот-д’Ивуара заявил, что он будет ниже ожидаемого. В целом за сезон мир столкнется с третьим подряд дефицитом.
Основная опасность заключается в том, что потери урожая из-за старения деревьев и болезней культур могут продлить дефицит и превратить его в структурную проблему предложения, удерживая затраты на высоком уровне, заявили в этой неделе аналитики Bloomberg Intelligence, включая Диану Гомес.
Так что прощайтесь с любой надеждой на более дешевый шоколад.